Piecewise Function Latex

Write a piecewise function in latex

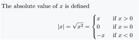
Piecewise Function Latex. Web how to write this piecewise function using latex? Web a piecewise function is a function in which more than one formula is used to define the output over different pieces of the domain.

Write a piecewise function in latex
Write a piecewise function in latex

Commas and character xs are perfectly aligned in two lines. Table of contents piecewise function with cases. To close our bracket without displaying anything. This package provides multiple tools that are very useful when writing mathematical content in latex. Although it is not wysiwyg you can write it in a very logical way. Create piecewise functions using array environment of course, the external package we will be using for most of the tools is the amsmath package. Web here is the code for a piecewise function in latex. Stack overflow about products for teams stack overflowpublic questions & answers Web latex is very flexible. So if you want to have to have f (x) precede your cases, just write it that way.

Web how to write this piecewise function using latex? Web how to write this piecewise function using latex? Web here is the code for a piecewise function in latex. Commas and character xs are perfectly aligned in two lines. Web doing piecewise functions in latex isn’t exactly obvious, but isn’t too difficult either. To close our bracket without displaying anything. Web a piecewise function is a function in which more than one formula is used to define the output over different pieces of the domain. Although it is not wysiwyg you can write it in a very logical way. We use piecewise functions to describe situations in which a rule or relationship changes as. Web a piecewise function is a mathematical function composed of multiple parts, each valid over a certain range of input values. I tried \vert x \vert = \begin{cases} x, &x \geq 0.