Latex Multiple Line Equation

Explanation of the formulas in LaTeX latexequationexplanation

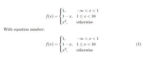
Latex Multiple Line Equation. Which results in the pic attached. Sometimes a long equation needs to be broken over multiple lines, especially if using a double column export style.

Explanation of the formulas in LaTeX latexequationexplanation
Explanation of the formulas in LaTeX latexequationexplanation

I want a multi line equation with labeling. Again, use * to toggle the equation numbering. There is no i in multline. Web latex assumes that each equation consists of two parts separated by an & and that each equation is separated from the one before by an &. The tbtags option makes the placement the same as multline. There are a number of possibilities to have multiline equations, but i am looking for multiline \text {.} elements. Which results in the pic attached. \begin {equation} f = \ {f_ {x} \in f_ {c} : First line if leqn, last line if reqno. Web 1 is there a way to label every line of multiline equation with a separate subindex?

When numbering is allowed, you can label each row individually. \documentclass {article} \usepackage {amsmath} \begin {document} \begin {equation} a^3 + b^3 \neq c^3 \text { i have discovered a truly marvelous proof of this,\\which this margin is too narrow to contain.} \end. Web equation on multiple lines. First line if leqn, last line if reqno. Follow asked jun 12, 2016 at 14:37. There is no i in multline. Web 1 is there a way to label every line of multiline equation with a separate subindex? One equation number per line , use align; Equation numbers one some lines only, use align but add \nonumber on the lines to left unnumbered; There are a number of possibilities to have multiline equations, but i am looking for multiline \text {.} elements. The tbtags option makes the placement the same as multline.