Latex Multiline Equation

How to Make a Multiline Equation in LaTeX

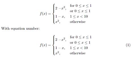
Latex Multiline Equation. Hi to everyone, i am writing a journal article for the iop smart materials and structures. (|s| > |c|) \cap (minpixels < |s| < maxpixels) \cap (|s_ {conected}| > |s.

How to Make a Multiline Equation in LaTeX
How to Make a Multiline Equation in LaTeX

\begin {multline} first part of the equation \\ = second part of the equation \end {multline} if you also need some alignment respect to the first part, you can use split: Who knows the way to write a multiline equation in a table? That can be done, but is more complicated. Unfortunately, this doesn't automatically allow alignment of multiple equations; Single equation number postfixed with a, b,c etc, enclose align environment inside subequation environment. Automatic equation alignment at multiple points. Web the following graphic shows the output produced by the latex code: \begin {equation} f = \ {f_ {x} \in f_ {c} : Web equation on multiple lines. Web latex multiline equation with fractions.

One equation number per line , use align; Web having said that: I am using the code below: That can be done, but is more complicated. \begin {table} \centering \begin {tabular} {|c| c| c|} \hline %inserts horizontal line &f1& f2 \\ [0.5ex] \hline a& b& c\\ \hline d& e & f \hline \end {tabular} \label {label 1} \end {table} \begin {multline} first part of the equation \\ = second part of the equation \end {multline} if you also need some alignment respect to the first part, you can use split: Web in large equations or derivations which span multiple lines, we can use the \begin {align} and \end {align} commands to correctly display the aligned mathematics. Web a single equation number for a multiline display, use aligned inside equation or inside gather; (|s| > |c|) \cap (minpixels < |s| < maxpixels) \cap (|s_ {conected}| > |s. Which results in the pic attached. I don´t like it a lot and i would like to know what could i do to have a better.