Latex Long Division

syntax Typesetting the "long division" in LaTeX TeX LaTeX Stack

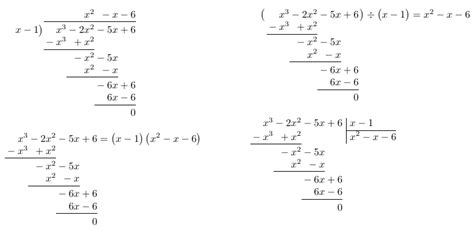
Latex Long Division. What would be the best way to write the long division of two polynomials and show all the steps? Here is a sample latex code for long division.

syntax Typesetting the "long division" in LaTeX TeX LaTeX Stack
syntax Typesetting the "long division" in LaTeX TeX LaTeX Stack

With the package longdivision, you obtain almost the desired output (but as a french, i don't known this strange notation, see the documentation of the package xlop about division for the french notation). Web \intlongdivisiondoes integer division and leaves the remainder. Thanks this has been my solution: What would be the best way to write the long division of two polynomials and show all the steps? The command \longdivisionkeys{hoptionsi} is also de ned to set default options. Web latex large division sign in a math formula [closed] ask question asked 13 years, 1 month ago modified 9 years, 5 months ago viewed 163k times 47 closed. This question does not meet stack overflow guidelines. Thanks to mike jenck, ben mckay, cameron mcleman, Have a look at the polynom package, it provides commands to typeset long polynomial divisions, see its documentation and examples. \documentclass {article} \usepackage {longdivision} \begin {document} \intlongdivision {12345} {13} \end {document}

Web \intlongdivisiondoes integer division and leaves the remainder. At most 20 division steps worth of work will be displayed and at most 60 digits worth of division output will be produced. What would be the best way to write the long division of two polynomials and show all the steps? With the package longdivision, you obtain almost the desired output (but as a french, i don't known this strange notation, see the documentation of the package xlop about division for the french notation). I put package in quotes because loading it using \usepackage {} doesn't work and for whatever reason, you have to load it using \input longdiv.tex. Web latex large division sign in a math formula [closed] ask question asked 13 years, 1 month ago modified 9 years, 5 months ago viewed 163k times 47 closed. \documentclass {article} \usepackage {longdivision} \begin {document} \intlongdivision {12345} {13} \end {document} Web is there a way to format long division in mathjax so it looks like this: Thanks this has been my solution: Web how do you write each line of long division in latex on here ? Have a look at the polynom package, it provides commands to typeset long polynomial divisions, see its documentation and examples.